登上Nature! 微结构固体力学团队在无线传感医疗植入物研究方面取得重要进展

获取体内临床相关数据(物理、化学及生物学指标)对于医疗护理至关重要,而现有技术大多依赖体外测量或成像系统,无法充分捕获深层组织的动态变化。植入式器件提供了一种解决方案,但传统设计通常需要电池或磁体,具有潜在风险;而基于无源电感–电容结构的现有可降解传感器则受限于读取距离短、信号鲁棒性差等问题。
近日,力学所苏业旺研究员团队与清华大学生物力学所李爽博士和香港城市大学于欣格教授合作提出了一种柔性、可降解的无线传感平台,该平台可在远距离(例如16 cm)下监测多种生理信号,并在大范围的测量距离和角度下均能保持信号准确性(图1)。该工作以“Soft biodegradable implants for long-distance and wide-angle sensing”为题发表于《Nature》。
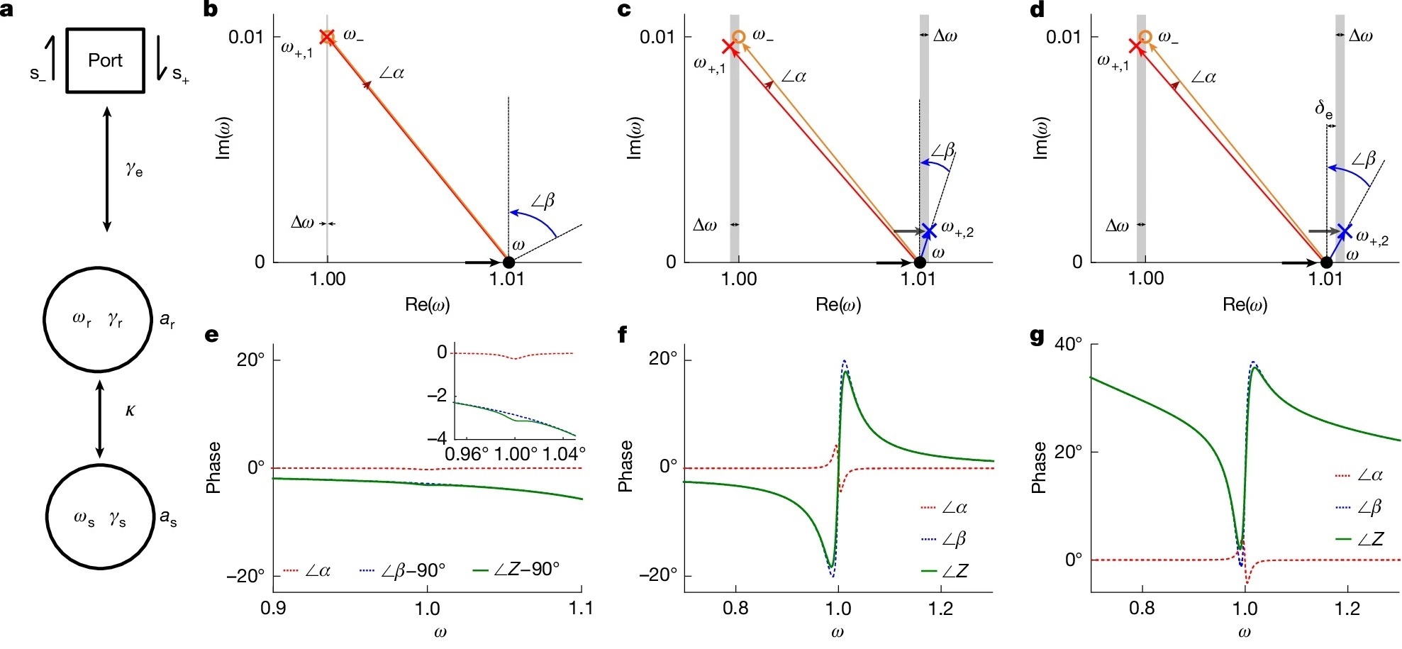
现有的体内临床数据获取方法,如磁共振成像(MRI)、计算机断层扫描(CT)、正电子发射断层扫描(PET)和超声成像,对于诊断肿瘤、心脑血管疾病及骨科疾病等多种病症至关重要。然而,这些手段主要获取解剖图像、代谢活动及间接计算的数据,信息类型范围有限。植入式器件的出现提供了新的可能性,使得原位监测压力、温度、pH值等成为现实。然而,这些器件大多依赖于芯片、强磁体、电池及其他不可降解的组件,带来了二次手术伤害的风险。近年来报道的可生物降解植入物显示出解决这一问题的潜力,它们利用无源电感-电容(LC)谐振电路来简化电路以避免不可降解的组件。LC电路将生理参数转换为谐振频率的变化,可通过非谐振电感耦合读取器(即标准读取系统)进行测量,然而需要很近的读取距离(通常小于3厘米)。宇称-时间(PT)对称和高阶PT对称的读取系统可通过频率分岔增加读取距离,但此类技术高度依赖于传感器与读取器之间距离和角度的严格控制,以确保标定关系保持不变,而这在临床环境中更难实现。
本工作的核心创新在于设计了“极点移动扫描”的读取系统(图2),其动力学特性与上述在频率扫描过程中极点保持固定的传统系统本质不同,所需耦合率可低至10的-5次方量级(较标准系统降低1-2个量级),突破了当前无源无线传感技术中存在的读取距离与鲁棒性两大瓶颈。此外,力学-电磁学协同的一体式折叠结构设计解决了在保持柔性与可降解性的同时实现高性能电磁功能的难题(图3)。在马腹腔内进行的体内实验可靠地捕获了深层组织的压力和温度变化,而无需严格位置控制,展现了该平台在难以精确定位深部组织传感器的实际临床环境中的显著优势。该平台有望作为现代医学影像技术的一种有效补充,可应用于腹内高压重症监护、心脏搭桥术后监测、脑疾病重症监护等多种医疗场景。
论文的第一作者为力学所博士生蓝昱群。通讯作者为力学所苏业旺研究员、香港城市大学于欣格教授和清华大学生物力学与医学工程研究所李爽博士。中国科学院动物所顾奇研究员和博士生郭海涛、中国农业大学李靖教授和朱怡平副教授等、中国科学院理化所吴雨辰研究员和李辉博士、中国科学技术大学高寒飞研究员、以及力学所刘沁园等多位博士生参与了该工作。该工作得到了国家自然科学基金委、中国科学院从0到1原始创新计划和中国科学院交叉学科创新团队等项目的支持。
原文链接:https://doi.org/10.1038/s41586-025-09874-3

图1. 柔性可降解无线传感平台及其信号示意。(a)柔性可降解无线传感平台的工作场景;(b)读取器和传感器的电路与结构;(c)标准系统和本系统的信号对比

图2. 无线传感平台的读取系统设计。(a)用耦合模理论描述的系统;(b-g)不同系统的零点-极点图和读取信号对比

图3. 无线传感平台中传感器的一体式折叠结构设计