力学所在软物质表面浸润动力学研究中取得重要进展
副标题:

流体界面在固体表面的运动在现实生活中普遍存在,其所涉及气-液-固三相物质之间的相互作用和三相接触线的动力学行为,是力学、物理、材料等学科致力解决的重要基础性问题之一。三相接触线在非理想表面运动时通常呈现粘滑运动(钉扎-脱钉)的特征,该动力学特征在各种失衡的无序系统中广泛存在。比如,磁畴壁和涡旋线的动力学、固体摩擦、晶体和玻璃态材料的塑性变形、断层地震和雪崩现象等。由于接触老化,钉扎强度通常呈现出随时间的增加而增强的趋势。然而,由于缺乏直接测量钉扎-脱钉转变的实验手段,这种与状态和速率有关的非线性动力学行为的微观机制仍未得到很好的理解。
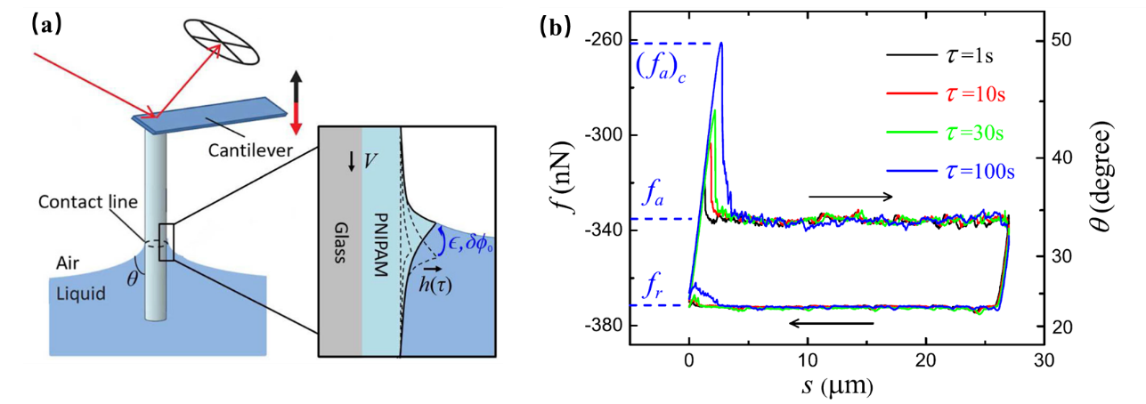
中国科学院力学研究所非线性力学国家重点实验室项目研究员关东石主要从事微纳尺度流体力学的研究,利用新型悬针式原子力显微镜(图a)在研究微纳尺度下浸润动力学、接触角的迟滞和弛豫的微观力学机制等方面取得了一系列进展(Guan et al. Phys. Rev. Lett. 116, 066102 (2016) & Phys. Rev. E 94, 042802 (2016))。在此基础之上,通过在原子力显微镜探针的微棒上附着柔性聚合物,系统地研究了移动接触线在软物质表面上的动力学特征。实验中测得的毛细力迟滞环显示了静态接触线在脱钉时呈现明显的力过冲(图b),并且过冲幅度随保持时间和运动速度呈对数增长。通过建立力学模型,提出软表面上浸润脊的缓慢增长(老化现象)与布朗运动协助跨垒的共同影响是移动接触线粘滑运动具有状态和速率依赖性的微观力学起源。该工作近日发表在《物理评论快报》上(Guan et al. Phys. Rev. Lett. 124, 188003 (2020))。该工作不仅能够在控制液滴在软表面(如凝胶、皮肤)上的运动和蒸发中具有重要的应用,也对理解摩擦等系统中粘滑运动的微观机理具有重要意义。
图 悬针式原子力显微镜测量三相接触线的动力学特征与在软物质表面上的力迟滞环
该工作得到中国科学院率先行动、国家自然科学基金委的资助。
文章链接:https://doi.org/10.1103/PhysRevLett.124.188003
| 附件下载 |
|---|
| 相关文档 |
|---|